公主家烟酰胺身体乳,公主家烟酰胺去角质磨砂膏怎么用

从特征向量的数量判断对角化

特征值和特征向量可能是线性代数中最主要 的看法之一。从机械学习、量子盘算、物理到许多数学和工程的问题,都可以通过找到一个矩阵的特征值和特征向量来解决。

凭证 界说(标量λ、向量v是特征值、特征向量A):

从特征向量的数量判断对角化

视觉上,Av与特征向量v位于统一 直线上。

从特征向量的数量判断对角化

这里有些例子。

从特征向量的数量判断对角化

然而,Ax通常不会即是λx。只有一些特殊的向量知足 条件。

应用

许多问题可以用线性变换建模,其中解决方案来自特征值和特征向量。让我们先用一个抽象的例子来详细说明这个问题。在许多系统中,我们可以在向量中表达属性,其转变 率线性地取决于当前属性(例如,生齿 增添 率线性地取决于当前生齿 和GDP)。一样平常 等式是

从特征向量的数量判断对角化

我们来猜一下知足 上面方程的u(t)。由于 一个指数函数的导数即是它自己,我们从一个t的指数函数最先 然后乘以一个向量x,输出就是一个向量。

从特征向量的数量判断对角化

凭证 上面的盘算,u(t)的解是

从特征向量的数量判断对角化

接下来,我们将找到它的完全解。一阶导数方程是一个线性函数。

从特征向量的数量判断对角化

对于线性函数,完全解是特定解的线性组合。若是 u和v是解,则C₁u + C₂v也是解。从我们之前的特征值λ= 4,-2和-2的例子中,完全解将是

从特征向量的数量判断对角化

在t = 0时,我们可以丈量初始状态u(0),好比说[u₀₁,u₀₂,u₀₃]ᵀ,并求解常数C₁,C₂,C₃。

从特征向量的数量判断对角化

让我们用谐振子来说明这个想法。我们选择这个例子是由于 谐波振荡器及其近亲(量子谐振子)在研究粒子物理学,量子力学或物理学方面险些无处不在。我们从著名的F=ma方程最先 用特征值和特征向量来解二阶导数。由于我们确实可以自由选择质量单元,物理学家通常设m = 1来简化讨论,即

从特征向量的数量判断对角化

我们把谐振子问题重新写成矩阵的形式。

从特征向量的数量判断对角化

阻尼谐振子

这与我们上一个例子的形式相同,因此,我们可以使用A的特征值和特征向量来形成完全解。

这不是一个证实 特征值能力的伶仃例子。著名的定态(time-independent)薛定谔方程用特征值和特征向量体现。所有视察到的属性都是通过量子力学中的特征值建模的。尚有 许多其他的例子,包罗机械学习。

从特征向量的数量判断对角化

从基础上说,许多系统都可以建模为

从特征向量的数量判断对角化

让我们再研究时间序列模子 。

从特征向量的数量判断对角化

首先,我们假设初始状态u 0是A的特征向量。因此,未来状态可以盘算为

从特征向量的数量判断对角化

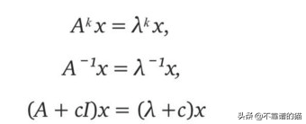
简而言之,我们可以通过用标量的幂取代矩阵(Aᵏ)的幂来简化盘算。 接下来,思量 A具有n个线性自力 的特征向量,它们组成Rⁿ的basis 。 我们可以将Rⁿ的任何向量剖析为该basis,并通过再次盘算特征值的幂来简化盘算。

从特征向量的数量判断对角化

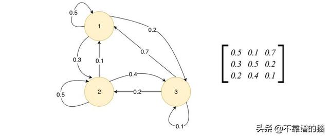
让我们简化讨论,假设整个互联网只包罗三个网页。矩阵A的元素Aᵢⱼ是当用户在页面j上时用户去页面i的概率。

从特征向量的数量判断对角化

若是 我们总结给定特定页面的下一页的所有可能性,它即是1。因此,A的所有列总和为1.0,这种矩阵称为随机矩阵(转移矩阵或马尔可夫矩阵)。

从特征向量的数量判断对角化

马尔可夫矩阵具有一些主要 的性子 。Ax或Aᵏx的效果 总是其列相加的和为1。此效果 体现每次点击后划分位于第1,2和3页的可能性。以是 很显着 它的和应该是1。

从特征向量的数量判断对角化

任何马尔可夫矩阵A的特征值都是1,其他特征值(正或负)的绝对值都小于1。这种行为很是主要 。在我们的例子中,

从特征向量的数量判断对角化

对于马尔可夫矩阵,我们可以选择λ= 1的特征向量,使元素总和到达1.0。 元素总和为1的向量v也可以使用A的特征向量举行 剖析,其中c 1即是1。

从特征向量的数量判断对角化

由于u 1,u 2,...和un是特征向量,以是 Aᵏ可以用λᵏ取代。除了特征值λ= 1之外,马尔可夫矩阵的特征值(λᵏ)的幂将减小,由于 这些特征值的绝对值小于1。 因此,无论初始状态怎样 ,系统都到达靠近 特征向量u 1的稳态。 Aᵏ和稳态都可以从特征向量u 1导出,如下所示。

从特征向量的数量判断对角化

在我们的例子中,我们到达第1、2和3页的概率划分是0.41、0.34和0.44。这个看法有许多潜在的应用。许多问题可以用马尔可夫历程和马尔可夫/转移矩阵来建模。

从特征向量的数量判断对角化

马尔可夫历程和转移矩阵

PageRank

以谷歌团结 首创人拉里佩奇命名的PageRanking算法也有类似的看法。它是第一个谷歌搜索排名算法,纵然它现在经由 大量修改,增添 了排名算法,以改善用户体验并阻止 人们使用 系统。 焦点看法可视化如下。PageRanking通过跟踪到其他页面的Web链接,输出您在随机游走后可能点击页面的概率漫衍。该概率充当网页的排名。当许多页面链接到您的网页时,谷歌会将它排序更高,由于 链接到网页的页面数目 是其受接待水平的指标。 这意味着在随机游走中点击页面的时机。

从看法上讲,我们盘算一个页面排名,它即是链接到这个页面的其他页面排名的总和,除以经由 某种归一化后的出站页面总数。

从特征向量的数量判断对角化

我们迭代地执行盘算,直到它到达稳态。在数学上,PageRank实验在以下等式中求解PageRank R.

从特征向量的数量判断对角化

这与我们之前讨论的例子有很大的相似之处,若是 我们忽略阻尼因子d。引入这个因子是由于 随机游走不会永远一连 。

对于Google,他们不直接盘算特征向量。在我们前面的例子中,A的幂收敛得很快,A3的列已经收敛到本征向量u 1 。

从特征向量的数量判断对角化

PageRank论文证实 ,有3.22亿个页面链接,该解决方案在52次迭代中收敛到一个可容忍的极限。

马尔可夫矩阵使我们获得下面的方程,其中稳态依赖于一个主因素 。

从特征向量的数量判断对角化

在机械学习中,信息与原始数据纠缠在一起。 在数学上,特征值和特征向量提供了识别它们的要领。 特征向量识别因素 ,特征值量化其主要 性。 下面的等式将A中的信息剖析为因素 。 我们可以基于特征值的平方根对它们举行 优先级排序,并忽略具有小α值的项。 这样可以降低噪声并资助我们在A中提取焦点信息。

从特征向量的数量判断对角化

希望你现在可以看到Ax =λx的美感。 特征值和特征向量可以通过求解(A-λI)v = 0来盘算。对于Ax =λx,对于v = 0以外的解,矩阵(A-λI)是不行逆的。 即它是单数的。 即它的行列式是零。 det(A - λI)= 0称为特征多项式。 特征值是该多项式的根。

从特征向量的数量判断对角化

从特征向量的数量判断对角化

特征值是:

从特征向量的数量判断对角化

应用Av =λv:

从特征向量的数量判断对角化

让我们通过一个更重大 的例子详细说明这一步骤,

从特征向量的数量判断对角化

要找到特征值λ,

从特征向量的数量判断对角化

16的可能因数是1 2 4 8 16。

从特征向量的数量判断对角化

让我们盘算特征值λ= 4的特征向量,通过镌汰 行。

从特征向量的数量判断对角化

我们有三个变量,有2个方程。我们将x 3恣意 设置为1并盘算其他两个变量。因此,对于λ= 4,特征向量是:

从特征向量的数量判断对角化

我们重复盘算λ= -2并获得

从特征向量的数量判断对角化

通过3个变量和1个方程,我们的解决方案中有2个自由度。让我们在与其他(多个)时间设定为1〜自由之一的一个度为0而设定为X 2 = 1时,X 3 = 0,和X 2 = 0,X 3 = 1脱离 ,所盘算出的特征向量是:

有3个变量和1个方程,解有2个自由度。让我们一次把一个自由度设为1,另一个自由度设为0。 即设置x 2 = 1,x 3 = 0,x 2 = 0,x 3 = 1,盘算出的特征向量为:

从特征向量的数量判断对角化

请注重 ,特征值和特征向量的解集不是唯一的。我们可以重新缩放特征向量。我们还可以为上面的x 2,x 3设置差异的值。因此,选择我们的特征向量以知足 某些条件是可能的,也是可取的。例如,对于对称矩阵,总是可以选择具有单元长度而且相互正交的特征向量。

在我们的例子中,我们有一个重复的特征值“-2”。它天生 两个差异的特征向量。然而,情形 并非总是云云 - 有些情形 下重复的特征值不具有多个特征向量。

对角化

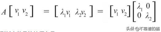
假设矩阵A具有两个特征值和特征向量。

从特征向量的数量判断对角化

我们可以将它们毗连 在一起并以矩阵形式重写方程式。

从特征向量的数量判断对角化

我们可以将它推广到恣意 数目 的特征向量:

从特征向量的数量判断对角化

其中V毗连 所有特征向量,Λ(λ的大写字母)是包罗特征值的对角矩阵。

从特征向量的数量判断对角化

矩阵A一个是可对角化的(若是 我们可以把它转换成一个对角矩阵),

从特征向量的数量判断对角化

从特征向量的数量判断对角化

若是 n×n矩阵具有n个线性自力 的特征向量,则它是可对角化的。若是 矩阵是对称的,则它是可对角化的。若是 矩阵没有重复的特征值,它总是天生 足够的特征向量来对向量举行 对角化。若是 没有,则无法保证。

特征剖析

若是 A是一个具有N个线性自力 特征向量的矩形矩阵(v 1,v 2,...&vn和响应 的特征值λ1,λ2,...和λn),我们可以重新排列

从特征向量的数量判断对角化

从特征向量的数量判断对角化

例如,

从特征向量的数量判断对角化

特征值和特征向量的性子 Ax与特征向量x在统一 直线上(偏向相同或相反)。特征值的和即是矩阵的迹(对角元素的和)。特征值的乘积即是行列式。若是 没有特征值重复,所有特征向量都是线性无关的。若是 特征值是重复的,我们可能有也可能没有足够的线性无关的特征向量来对角化一个方阵。正特征值的数目 即是正pivots的数目 。对于Ax =λx,从特征向量的数量判断对角化

若是 A是奇异的,它的特征值是0。可逆矩阵的所有特征值都是非零的。特征值和特征向量可以是复数。投影矩阵的特征值始终仅为1和0。反射矩阵的特征值为1和-1。可视化

由于 很难看到凌驾3个维度的任何工具。 此处的示例保留2维。 假设v 1和v 2是2×2矩阵A的线性无关特征向量。任何向量都可以在v 1和v 2偏向上剖析为components 。 当我们将A与特征向量相乘时,效果 在特征向量的统一 条线上。 若是 特征值为正,则它将向量按特征值在相同偏向上缩放。 否则,它会向相反偏向缩放向量。

从特征向量的数量判断对角化

因此,对于下面红色单元圆上的所有点,都将转换为椭圆上的点。可是 对于非特征向量,它不会在原向量的统一 条直线上。当我们继续将效果 与A相乘时,效果 会更靠近 特征向量。

从特征向量的数量判断对角化

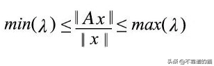
在这种可视化中有一件很是主要 的事情。变换后的单元向量(Ax)的最大范数(长度)小于或即是最大特征值。另一方面,范数大于或即是最小特征值,即

从特征向量的数量判断对角化

事实上,这可以很容易地在下面看到。

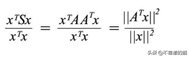
从特征向量的数量判断对角化

目的 或成本函数通常以xᵀAx的二次形式体现。假设m×n矩阵A保持n个主体的属性。AAᵀ保持这些属性之间的关系,这个矩阵S是对称的。

从特征向量的数量判断对角化

特征值和特征向量可以资助我们改变差异偏向的特征。具有最大值的特征向量向我们显示这些属性之间的相关性。这些看法可以在SVD和PCA看到。

最新版权声明:鹊肤霖提醒您:在浏览本本网站(gta5人物身上全是红点)侠盗猎车追越野车任务?信息时,请您务必阅读并理解本声明。本网站部分内容来源于网络,如您认为本网不应该展示与您有关的信息,请及时与我们取得联系,我们会尊重您的决定并当天作出处理。作者:鹊肤霖 转载请注明转载地址

专业祛鸡皮肤 微信 : zyjs28 (长按可以复制)

专注:鸡皮肤、鱼鳞皮肤、蛇鳞皮肤、红点瘙痒