
1, 2, ⋯ , , ∈ ℝ
1, 2, ⋯ , , ∈ ℝ1
1 = 111 + 122 + ⋯ + 1
2 = 211 + 222 + ⋯ + 2
⋮
= 11 + 22 + ⋯ +
××1 = ×1
当 = 且×可逆时:
= −1s
一样平常 情形 : ≠ n
设min||X − ||2 =
则对矩阵求导可得,/= X(X − ) = 0
XX = X XX是否可逆?
增补:矩阵可逆的条件:
R(A)=n,即若矩阵满秩则矩阵可逆
秩的界说:矩阵中所有行向量中极大线性无关组的元素个数。
1. N n
如 = 5, = 3 (XX)3×3一样平常 是可逆的
增补: R(AB)R(A)或R(B)
则 = (XX)(−1)X
此时(XX)(−1)X即为伪逆矩阵
2.
如 = 3, = 5 (XX)5×5
(XX) ≤ (X) ≤ 3
故XX不行逆
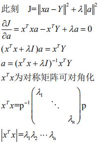
此时就需要加上正则项得,
这里所求的解即是最小范数解
2. PCA原理与推导PCA仍然是一种数据压缩的算法
如图所示,A点需要x,y两个坐标来体现,假设A在向量u上面的投影点为A’,则A’仅仅需要一个参数就能体现,就是OA’的长度(即A’在u上的坐标),我们就想着用A’来替换A,这样N个点(原来要2*N个参数),现在只需要(N+2)个参数(u也需要2 个参数)
可是 此时就带来了误差,如AA’和BB’,以是 我们要能够找到这样一个偏向u,使得所有原始点与投影点之间的误差最小。
后续将继续更新课程内容. . . .

