
高考数学天下 一卷考前冲刺满分:十年真题分类汇编之解三角形部门
解三角形部门是高考数学必考内容,属于基础题,一样平常 出在第一大题。越是简朴越丢分,一旦失误,预计130以上就没有希望了。
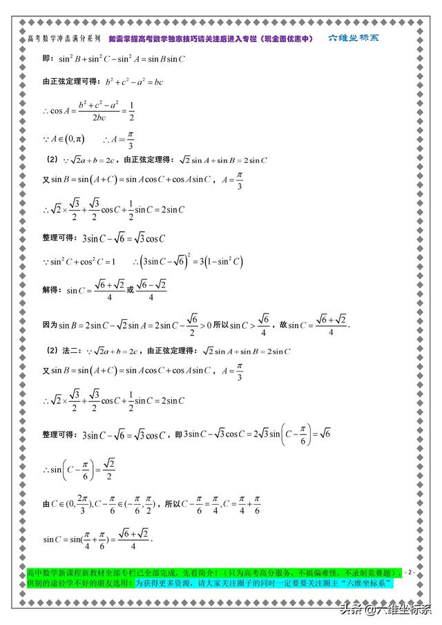
解三角形主要考察 :正弦定理、余弦定理、面积公式、平面向量四个要点的团结 ,难点在于边角互化,记着:当方程双方 的正弦或边次数相同时,可以使用正弦定理化成边或者化成正弦;次数差异时不行使用,这是由于 双方 的2R消不掉。总之,不管是边化角照旧角化边,都需要双方 消去2R,才可以使用正弦定理。余弦定理是见到平方时显然使用余弦定理利便 些。既然是两种思绪 ,以是 我们在选摘要 领时要凭证 条件和要求的结论举行 选择。
★系统学习高考解三角形请进入:
★更多内容:
高考数学天下 一卷:十年真题分类汇编之三角函数部门全剖析
高考数学天下 一卷:十年真题分类汇编之压轴题导数部门全剖析
★先关注不迷路,只分享干货,各人向前翻看。关注后先看专栏简介,一线西席 只为高考数学高分服务(不讲竞赛题和只适合一个题的要领,只讲通法秒杀,让你看的每一分钟都有收获)。
(此处已添加圈子卡片,请到今日头条客户端审查 )

